Definisi: Suatu jenis pemasangan suar yang dikerjakan dengan segel suar tempat duduk 37 derajat yang ditentukan oleh standar SAE J514 dan MIL-DTL-18866 di bawah JIC (Joint Industry Council), juga sama dengan standar dimensi ISO 8434-2 versi 2005 , Ini adalah jenis segel logam oleh Nut, lengan dan alat kelengkapan tubuh. Jenis penyatuan membutuhkan sambungan ujung tabung dengan standar JIC 37 deg yang sama dengan tabung fitting melebar.
1. Metode sambungan fitting tabung JIC 37 yang menyala, konektor jantan 37 deg yang menyala akan berpasangan dengan dua jenis betina (Nut + Sleeve + Tube dan Female Swivel Adapters atau Hose assembly) ditampilkan sebagai bagan:

2. Keuntungan dari fitting tabung JIC 37 deg Berkobar sebagai berikut:
● Metode segel logam melakukan keandalan yang sangat baik, untuk tetap bebas bocor di bawah sistem pelumasan pneumatik hidrolik, aplikasi khas pada peralatan pertanian, rekayasa proses.
● Mudah dirakit, dari persiapan tabung yang baik, kebutuhan ruang instalasi yang sangat baik, perbaikan lapangan dengan pembakaran tangan. Kompatibilitas tabung dari baja, baja tahan karat, tembaga dan aluminium, tersedia ukuran OD tabung dari 6 hingga 50mm dan 1 / 4˝ hingga 2˝.
● Perlengkapan paling populer untuk tabung inci (tabung metrik berdasarkan permintaan), penerimaan di seluruh dunia. Bahannya adalah baja karbon tempa, baja stainless tempa, kuningan tempa dll.
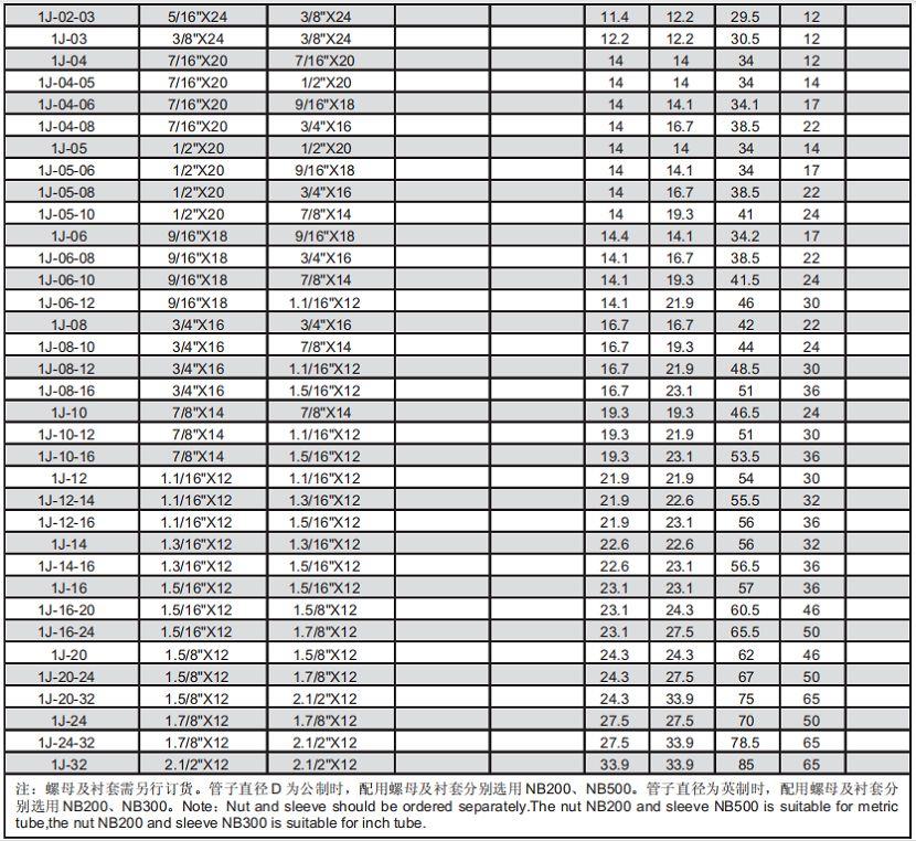
4. Data Dimensi & Tek dari 37 deg Ukuran Tabung Berkembang (SAE J514 / ISO 8434-2):


Tekanan yang bekerja untuk koneksi yang menyala 37 °

1. JIC Tube Fittings Union Lurus 1J


2. Kelengkapan Tabung JIC Union 45 ° Elbow 1J4


3. JIC Tube Fittings Union Elbow 1J9


4. JIC Tube Fittings 37 deg dengan O-ring Union Elbow 1J9-OR


5. JIC Tube Fittings 37 deg dengan O-ring Union Straight 1J-OR


6. Fitting Tabung JIC Sekat Union Lurus 6J -LN


7. JIC Tube Fittings Sekat 45 deg Siku 6J4 -LN


8. JIC Tube Fittings Sekat Siku Union 6J9 -LN


9. JIC Tube Fittings TEE Union AJ


10. Peralatan Tube JIC Cabang TEE Bulkhead Union AJ6JJ


11. Peralatan Tube JIC Jalankan TEE Bulkhead UnionAJJ6J


12. JIC Tube Fittings Cross Union XJ


Tag populer: fitting hidrolik JIC union, Cina, produsen, pemasok, custom, kuningan, swagelok, Parker, Stauff, Brennan, stainless steel











